FROM PYRAMID TO SPHERE [Part 1: The Pyramid]
On the transformation of the global generator function. [Part 1/5]
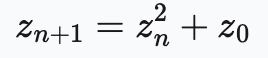
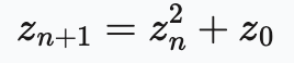
The term generator function, meaning a function that generates something, is best illustrated using a mathematical function. Let's take the function of the Mandelbrot set for an exemplification:
This simple and elegant function alone, this base pattern in other words, generates enormously complex, fractal and individual structures when the iterative points are visualized in a coordinate system, all of which can be traced back to the actual generator function.
So when I use the term generator function in the sociological field, like I do below, I mean a fundamental driving force of a culture, a base pattern that generates analogous iterative structures of itself. At the basis of every culture and society lies a generator function that unites the prevailing values, dynamics and belief systems and can be crystallized into a single symbol. This symbol represents the base pattern of the function. It should be made clear that a symbol in this usage is not a simplification, but an inexhaustible stand in for an archetypal phenomenon that cannot be fully defined. The symbol keeps open scope so that new inspiration can always continue to explore new aspects.
Societal structures formed from a generator function serve to reproduce the basic pattern of the function, which manifests itself in specific values, dynamics, belief systems, identities, narratives and aesthetics. In short: the purpose of every generator function is always its own reproduction. Just as a yeast culture works through the whole dough, a generator function wants to work its way through the whole of society.
In the following essay, I will examine the transformation of the global generator function. Namely, the change from the old function, which I call the Pyramid, to the emerging new function, which I call the Sphere. I will ground the theory in various cultural examples to demonstrate its global relevancy.
The following questions will be answered:
How is the current Pyramid generator function changing into the new Sphere generator function?
What are the signs of change?
What future trends are recognizable?
What real life steps can we take to partake in the transformation?
I am interested in where our culture is heading. The opportunities and challenges that arise and most importantly what we can do to partake in the allready ongoing reshaping of our world. Although I will call the Pyramid society the “old society”, it is also the present one, which is undergoing a transformation and will eventually become the old one.
Of course my questions build on certain assumptions which are the following thesis statements:
THESIS 1: The generator function of the old society is understood as a pyramid.
THESIS 2: The generator function of the new society is understood as a sphere.
THESIS 3: There is a change in the global generator function.
This essay will be a 5 part series.
The 1. Part will about Thesis 1.
The 2. about Thesis 2.
The 3. about Thesis 3.
The 4. about future trends.
The 5. will be the final conclusion and actionable steps.
Without further adue let’s get into the meat of todays theme: The Pyramid.
Thesis 1: The generator function of the old society is understood as a pyramid.
The Pyramid is the crystalline symbol of the old generator function. A pyramid implies an order of levels in which the lower structures serve as the basis for the upper ones. It culminates in a singular point that occupies the highest position. It is not difficult to recognize that this symbol generates vertical hierarchical structures that concentrate power at the top. The resulting dynamic is a win-lose competition. Because if the goal is the ever more narrowing top, every ascent inevitably has the effect of a descent. This destructive competition gives rise to behavioral patterns such as egotism, machiavellianism and sociopathy, which are then rewarded and further reinforce the system. Now that we have a rough understanding of the superficial, let's go deeper and look at the actual components of the engine.
The first thing to note here is that our self-concept is largely responsible for the form of the generator function. The function primarily emerges from the collective will of society and is then secondarily maintained by the resulting system. The system is the consequence of an internal modus operandi which is a priori. The operating system of the Pyramid, to continue with a computer analogy, is based on the self-concept of a human being who lives according to the classical proven strategies of evolution. Due to his fear of death and the urge to reproduce (for simplification, I use the masculine here which should be considered neutral), he accumulates as many resources as possible so that he has the best chance of passing on his genes due to evolution. His animalistic survival instinct wants him to fight his way to the top of the food chain, dominating and exploiting everything weaker along the way. Death is always breathing down his neck reminding him with a ticking clock of his soon demise. His reward system is geared towards status, power and resources. But we as a species have long since become the apex predator. So the evolutionary battleground shifts into the species itself. And if we remain in this hyper-competitive and hierarchical mode, the only option left is to destroy ourselves: Homo homini lupus.
This evolutionary Pyramid consciousness generates a mostly unspoken but extremely fundamental dynamic in society. Alexander Bard and Jan Söderqvist (in Digital Libido) call it a social sadomasochism. It is a more or less conscious and of course gradually active dynamic in all areas of our social relationships and interactions. The hierarchy of the Pyramid causes an imbalance of power and control. A higher-ranking controlling subject (social sadist) and a lower-ranking submissive subject (social masochist). For the social masochist, the age-old deal of giving up personal freedom and self-determination in return for security, order, structure and comfort applies here. For the social sadist, there is possibly only one deal: power in exchange for his soul.
The, to be frank here, infantile behavior of the social masochist, who more or less willingly goes into the control and dependence of the social sadist in order to comfortably walk on the premade railways of our system, is the first half of the core of the Pyramid generator function. The emotion behind it can perhaps best be described as a pleasantly comfortable trance that sets in when you hand over responsibility to a perceived “higher entity” (e.g. state, company, leader). In S/M, this state in its extreme form is known as the subspace. The advantage in S/M is of course that there is a clear established safeword, which in the broader social setting is completley missing and allows for a most fundamental domination without limmits.
The second complementary half is the experience of the powertrip of the social sadist, who elevates his subject above that of others and finds satisfaction in his sense of control. Anyone who even had a small taste of these two states knows how addictive they can be. The world isn’t about money, it never was. At a certain level you can buy anything, so it looses its relative value. But what you always can tangibly increase is your power. To put it simply: the world is run by powertrip junkies. I actually wish it was more complex and less pathetic, but everything points towards this circumstance.
Yet I need to absolutley stress here that not only the social saddists are to blame for the current let’s put it mildly, immensly fucked up state of world affairs, but also the social masochists which enable this shit to continue though their passivity. Maybe they are to blame even more, because they vastly outnumber the social saddists and could put an end to all of this in an instance.
In conclusion, we observe that the archetypal Pyramid generator function fundamentally arises both from the evolutionary instinct for power and the submission to it.
Furthermore, I will save myself the trouble of linking the above connections with our current reality of neoliberal capitalism (the old society). Even a child can see that. I therefore consider the thesis to be confirmed.
End of Part 1. Join me next time to see what lays ahead of us and has already taken roots all over the world: The Sphere.






